Skip to main content Skip to search Skip to section menu Skip to sidebar menu View accessibility support page

Imperial College LondonImperial College London

Latest News

More News

Main Navigation

  • Study
    Close
    • Study overview
    • Courses
      Top Links
      • Search our courses
      • Explore subject areas
      • Chat to our students
      • Request information
      • Continuing professional development
      • Executive education
      • Adult education classes

       

    • Admissions
      Top Links
      • How to apply
      • Fees and funding
      • Accommodation
      • Student visas and immigration



    • Events, tasters and talks
    • Visit us
    • Undergraduate Open Days
    • Summer schools
    • Virtual tour
    • Help centreFind answers to frequently asked questions about studying at Imperial
    • International studentsLearn more about what Imperial has to offer students from around the world
    • Student lifeDiscover more about our entrepreneurial community, and life in London
  • Research & Innovation
    Close
    • Research and Innovation
    • Research support
      At a glance
      • Support for staff
      • Support for partners and business
      • ICT research computing support
    • About Imperial research
      At a glance
      • A-Z all research groups
      • Our research culture
      • Research Excellence Framework (REF)
    • Global Institutes
    • Centres of Excellence
    • Networks of Excellence
    • Funding opportunities
    • Impact case studiesRead case studies about Imperial research that has made a difference
    • Research newsThe latest research news from across the College
    • EnterpriseLearn how we support entrepreneurship and find research-driven solutions
  • Be Inspired
    Close
    • Be Inspired
    • Take part
      Top links
      • Schools Outreach
      • What's on at Imperial
      • Staff and student volunteering

       
       
    • Engage online
      Top links
      • Imperial news
      • Imperial Magazine
      • Imperial College Podcast
       
       
    • Societal engagement
    • The Great Exhibition Road Festival
    • Imperial Lates
    • Social media directory
    • Imperial StoriesThe very best features and opinion from the Imperial community
    • Student storiesFind out about life on campus from our team of student bloggers
    • Imperial TodaySubscribe to our daily newsletter and receive the best stories from Imperial direct to your inbox
  • About
    Close
    • About
    • Our leadership and strategy
      Overview
      • Imperial strategy
      • Academic Strategy
      • Governance structure
      • League tables
      • Global Imperial
    • Our people and values
      At a glance
      • President
      • Provost
      • Recognising our people
      • Search Imperial staff and researchers
      • Alumni stories
      • Equality diversity and inclusion
    • Our faculties and departments
    • Faculty of Engineering
    • Faculty of Medicine
    • Faculty of Natural Sciences
    • Imperial College Business School
    • Our campusesExplore our London locations
    • Our values and behavioursOur College Values both underpin and reflect our behaviour and are critical in shaping how we work
    • Sustainable ImperialWe will set a global benchmark for university sustainability
  • News
  • What's on
  • News
  • Give
  • A-Z
    • Close
    • Faculties and departments
    • Multidisciplinary networks, centres and institutes
    • Research groups
    • People finder
    • Administration and support services
  • Information for
    • Close
    • Prospective students
    • Current students
    • Alumni
    • Staff
    • Jobs at Imperial
    • Partners and business
    • Media
    • Donors
    • Parents
    • Conference organisers

Papadakis Lab

Section Navigation

  • Close
  • Papadakis Lab Overview
  • Research
  • People
  • Publications
  • News
  • Home
  • Research groups
  • Papadakis Lab
  • Research

Research

Main themes

Flow around an airfoil

Simulation and control of aerodynamic flows

Improvement of aerodynamic performance of aerofoils, Optimal control of by-pass transition, Simulations of transitional flow around wings

More information

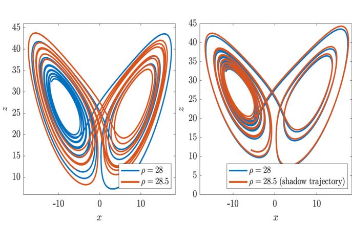
Lorenz system

Sensitivity analysis of chaotic systems

Application of the shadowing method for sensitivity analysis of time-average quantities of chaotic systems.

More information

Research themes

Flow around a blade

Turbulent flow and mixing enhancement

Improvement of mixing performance of stirred vessels

More information

Flow behind a square prism

Fundamental analysis of turbulent flows

Universal features of the velocity gradient tensor, analysis of energy cascade using the Karman-Howarth-Monin-Hill equation

More information

Research

Contact us

Phone:
+44(0) 20 75945080

Email:
g.papadakis@ic.ac.uk

Address:
Department of Aeronautics
Imperial College London
South Kensington Campus
London, SW7 2AZ, UK

Contact & Links

Useful Links

Information for

  • Prospective students
  • Alumni
  • Jobs
  • Partners and business
  • Media
  • Donors
  • Parents
  • Conference organisers

Top links

  • Visit Imperial
  • Outlook web access
  • Contact ICT Service Desk
  • Library
  • Blackboard
  • Move Imperial

Students

  • Students main page
  • Imperial College Union
  • Student Hub
  • Careers Service
  • Imperial Mobile
  • Graduation
  • Term dates

Staff

  • Staff main page
  • ICIS
  • HR procedures
  • Pay and pensions
  • Research support
  • New staff information

Imperial partners

  • Imperial College Healthcare NHS Trust
  • Imperial College Academic Health Science Centre
  • Imperial College Health Partners
  • Imperial Consultants

A-Z

  • Faculties, departments and institutes
  • Research groups
  • Administration and support services
  • People finder

College Information

Imperial College London

Address

Imperial College London
South Kensington Campus

London SW7 2AZ, UK
tel: +44 (0)20 7589 5111
Campuses & maps

Follow Imperial

Facebook X, formerly known as Twitter You Tube Linked in Instagram TikTok

Site Information

  • Sitemap
  • Accessibility
  • Modern slavery statement
  • Privacy notice
  • Use of cookies
  • Report incorrect content
  • © 2026 Imperial College London
  • Log in