Multi-scale modelling
Large-scale molecular dynamics simulations of lasermatter interactions and dislocation generation
- Thomas White (RA)
- Clément Zankoc (ERASMUS student)
- Daniel Eakins

Large scale, massively parallel molecular dynamics (MD) allows the behaviour of complex many-body systems to be investigated. The ISP have recently developed the capability to simulate systems consisting of up to ten million atoms on two 48-core clusters running the open source software LAMMPS. MD is well suited to exploring the properties of extreme states of matter; that is matter with temperatures in excess of 100,000 K and pressures reaching one million atmospheres. These states of matter can be recreated here on earth during high power laser-matter interactions and represent an important step towards understanding the creation and evolution of complex systems relevant to astrophysical conditions and planetary interiors.
ERASMUS student Clément Zankoc completed a summer project investigating two separate problems. The first of these explored the behaviour of a polycrystalline copper sample consisting of four million atoms arranged in approximately 400 grains and subjected to an intense laser pulse, modelled through implementing a 900 m/s piston on one wall of the simulation. Figure 8 shows the temporal evolution of the sample, a clear wave crosses the sample ahead of the piston and stress relaxation through dislocation generation is visible within each grain. One of the fundamental difficulties with MD is selecting the best potential to represent the ion interactions within a system. With this goal, the second project examined the behaviour of a trial system consisting of a 2D layer of single crystal copper with a four Angstrom cylindrical nano-void studied under tension. Figure 9 shows the behaviour of the system as the outer most layers of atoms are systematically moved outwards. The qualitatively different response between two potentials (a-c) and (d-f) is clearly apparent.

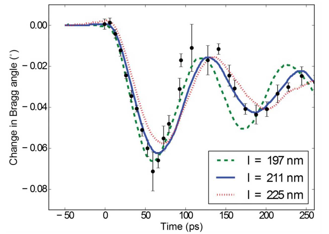
Finally, in work recently published in PRB, the electron-phonon equilibration in laser-heated gold was determined through direct comparison with MD.1 By irradiating a thin metal foil with an intense short-pulse laser, a uniform system far from equilibrium was created. The energy is initially deposited within the electronic subsystem, and subsequent evolution of the system governed by the electron-phonon coupling. By measuring the time evolution of the lattice parameter through multilayer Bragg diffraction and comparing to a classical MD simulation utilising a two-temperature electron-phonon system, the electron-ion coupling constant for gold was determined (figure 10).
Publication 1. TG White, P Mabey, DO Gericke, NJ Hartley, HW Doyle et al. Electron-phonon equilibration in laser-heated gold films Physical Review B, 90 (1), 014305, (2014)
Figure 8: (a) Four million-atom polycrystalline copper containing approximately 400 grains. A shockwave is driven into the sample by implementing a 900 m/s piston. (b-d) show a 2D slice through the sample at 0 ns, 4 ns and 8 ns after the piston begins to move. Atoms are coloured according to their centrosymmetric parameter to highlight the dislocation lines forming within a grain.

Figure 9:Dislocation generation due to a tensile force applied to a two dimensional single crystal of copper around a cylindrical nano-void defect. At each strain the simulation is relaxed to the lowest free energy surface with subsequent snapshots separated by one relaxation. The top and bottom rows show discrepancies between two common potential. The atoms have been coloured according to their centrosymmetric parameter.
Figure 10: Change in diffraction angle from the gold nano-foil compared to results from molecular dynamics simulations where the sample thickness is varied. The solid line represents the best fit, while the dashed and dotted lines are under- and overestimates respectively.