Active Learning
Background
Over the last five years the undergraduate teaching provision in the Department of Physics has seen some major changes. Globally, changes to university structures, increasing evidence for the effectiveness of more active teaching methods, and an ongoing sea change in the awareness of mental health requirements with the need for greater inclusivity have inspired several adaptations on the way things run. Locally, Imperial College implemented a progressive Learning and Teaching Strategy and departments underwent thorough reviews of their undergraduate curricula, providing the Department of Physics with the ideal opportunity to overhaul its provision for undergraduates for the better.
In 2018, we applied for, and received, funding for a four-year project designed to improve the way we teach physics through better use of blended learning, and improved quality and use of physics demonstrations throughout the curriculum.
Blended learning
Blended learning involves the use of planned independent learning, through pre-class assignments. While in class, students are required to think about challenging concepts, through, for example, small group and paired discussion and activities to develop ideas and understanding.
We are creating and evaluating a range of online activities prior to scheduled contact hours to enhance students’ conceptual understanding, to “prime” students’ learning during contact time, and to increase students’ ability to self-evaluate their own knowledge and skills. The online activities free up time for active learning elements during contact hours. The materials created and experience gained through this project serve as a model on which to implement department-wide pedagogy transformation.
In this project, we create, improve and evaluate a range of different online pre-class and in class-activities to both enhance students’ conceptual understanding and increase students’ ability to self-evaluate their knowledge and skills.
The specific preparatory online activities we implement and evaluate are:
- Evaluate students’ perspective on the courses that delivered based on flipped learning approach.
- Creating preparatory pre-reading material and/or videos
- Developing preparatory exercises paired with existing interactive online visualisations
- Creating physics coding problems for example, in Jupyter Notebooks, combining preparatory reading and modelling exercises

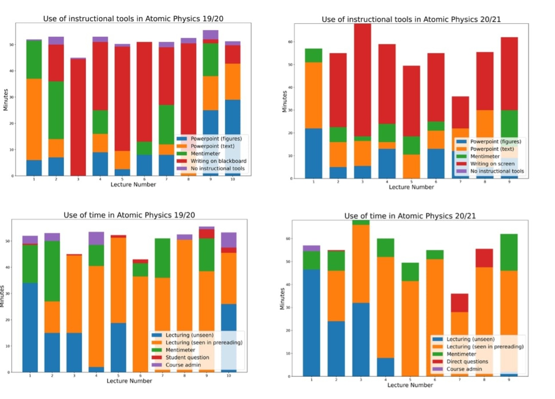
We collect information on the range and frequency of teaching practices for some chosen courses at the Department. To help facilitate this process, we can use the COPUS (Classroom Observation Protocol for Undergraduate STEM) review, which is a method used to characterize time use during teaching time for STEM courses. A modified version of this method was used to characterize time and resource use for the duration of the second year Atomic Physics course, in 2020 and 2021. The above figure shows the COPUS review for this course considering instructor actions and instructional tools.
Practical physics demonstrations
The use of practical demonstrations in teaching physics has a long tradition and the subject normally splits and polarizes lecturers, between enthusiastic supporters who see them as powerful tool to engage and entertain students and those doubting its pedagogical value or those concerned about the amount of time and preparation that go into them. Almost everyone would agree that well-crafted demonstrations can bring dry and abstract concepts to life, provide entertainment and useful breaks into lectures and help students engage with and remember content. On the other hand, poorly planned demonstrations can also confuse students, there can be visibility and other technical issues and, most importantly, they can take up a lot of time both for preparation and delivery. Research has indeed shown that demonstrations by themselves may not necessarily help students’ understanding, unless an active element is introduced, i.e. students need to be engaged as they watch the demonstrations and not passive bystanders [1,2,3]. This can be simply achieved by asking them to make predictions about the experiment outcome or to link the demonstration to concepts they have just seen in lectures.
The purpose of this part of the active learning project is to bring more interactive demonstrations into the Physics curriculum at Imperial College. Over the last three years a bank of experimental demonstrations has been developed for all four years of the undergraduate physics degree, documented and catalogued. On many occasions we have also helped lecturers and tutors delivering the demonstrations live in their lectures and tutorials. A Sharepoint internal website has recently been built to collate videos of all available demonstrations, instructions on how to assemble and deliver them and teaching materials that can be used to make the sessions more interactive (for instance Mentimeter quizzes or problem sheets.) The bulk of this work was done in collaboration with a number of brilliant UROP students, who helped develop many of the demonstrations and brought in their unique perspective as receivers of these teaching tools.
In parallel to the practical side of the project, we have also been conducting surveys, interviews and focus groups with both students and lecturers, in order to gather general views about the use of interactive demonstrations and their educational value. These conversations brought up many interesting points. Most of the students surveyed or interviewed agree that demonstrations can be very useful and entertaining and can improve their engagement when used properly; they have consistently mentioned that they would like to see more demonstrations in lectures, as well as seminars and tutorials. However, many of them have also highlighted issues with delivery and planning, i.e. not being able to see the demonstrations clearly in lecture theatres or the lack of clear explanations and goals. Interestingly, both these views align very well with the opinions and concerns of the lecturers that we interviewed and can be summarised as follows: demonstrations are potentially a great teaching tool, which is naturally inclusive and interactive; however, a great deal of preparation and design is needed in order to make them work, with the potential risk of undermining the students’ learning experience if something goes wrong.

We hope that the work we have done in the past three years to develop, collect and document interactive demonstrations will form the core of an expanding suite, which will be available to the larger teaching and learning community in physics and possibly beyond. Having lowered the threshold of time commitment, this has already had the positive outcome of spreading the use of demonstrations to many of the core modules, but much more remains to be done. For instance, having a dedicated space in the teaching labs to develop and display demonstrations, as well as some technical support, would further increase students’ participation and simplify delivery.
This figure shows the average and standard deviation of the answers of 155 UG students to the questions below (3 means neither agree nor disagree). On average most of the students agreed with all of the statements (4 means agree), however the agreement was stronger on a few points such as “Demonstrations were entertaining, they helped make the lecture more interesting”.
- Demonstrations encourage students to participate in lectures
- Demonstrations create opportunities for asking questions about the physics phenomenon
- Demonstrations were delivered efficiently in the lectures
- Demonstrations helped improve understanding of the physics being taught
- Demonstrations were entertaining, they helped make the lecture more interesting
- I could see the demonstration clearly
- The questions associated with the demonstration were helpful
- Demonstrations were explained clearly
- Demonstrations related the theory to a visible, real world example
- Demonstrations maintain student interest during lectures
- Demonstrations help provide varied and lively lectures
- Demonstrations were structured well in the lecture organization
- Demonstrations help to increase enthusiasm for the physics
References
- K. Miller, et al, “Role of physics lecture demonstrations in conceptual learning”, Phys. Rev. ST Phys. Educ. Res. 9, 020113 (2013)
- D.R. Sokoloff and R. K. Thornton, “Using interactive lecture demonstrations to create an active learning environment”, The Physics Teacher 35, 340 (1997)
- M.D. Sharma, et al, “Use of interactive lecture demonstrations: A ten year study”, Phys. Rev. ST Phys. Educ. Res. 6, 020119 (2010)
If you are interested in the project and want to discuss then please contact the Princial Investigators, Vijay Tymms or Yasmin Andrew.
Meet the Team
Affiliates
Michael Coppins
Michael Coppins
Reader (Physics)
Simon Foster
Simon Foster
Outreach Officer
Kate Ippolito
Kate Ippolito
Principal Teaching Fellow (EDU)